공무원은 기본봉급+수당으로 급여가 책정됩니다. (국가, 지방직 동일)
2022년 기준 수당입니다.(육아휴직 수당 상향)






아래는 국가직 그러나 지방직은 법령에 아래를 준용한다라고 되어 있음.
제4조(공무원의 봉급) ① 삭제 <1999. 1. 21.>
② 삭제 <1999. 1. 21.>
③일반직공무원과 일반직공무원의 계급에 준하여 임용하는 별정직공무원의 봉급월액은 「공무원보수규정」 [별표 3]을 준용한다. <개정 2005. 1. 7.>
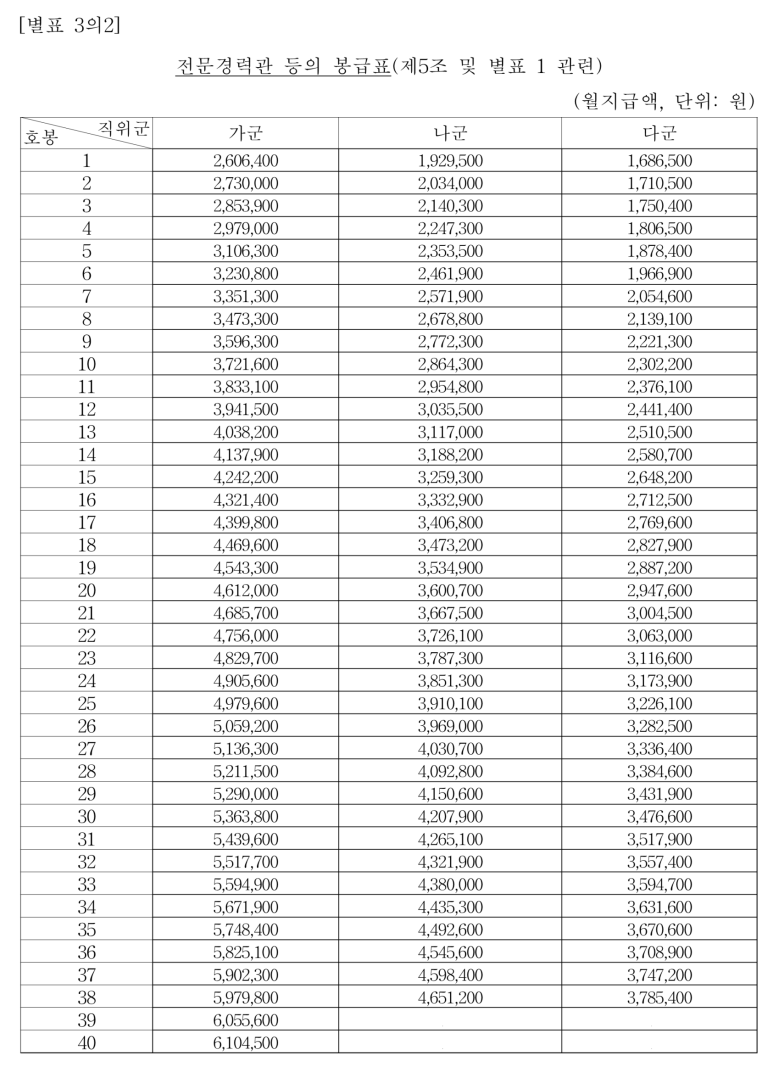
④ 지방전문경력관의 봉급월액은 「공무원보수규정」 별표 3의2를 준용한다. <신설 2013. 12. 11.>
⑤별정직공무원인 동장ㆍ읍장 및 면장의 봉급월액은 일반직공무원 5급상당액으로 한다. <개정 1991. 6. 27., 1995. 7. 1., 2013. 12. 11.>
⑥연구직공무원의 봉급월액은 「공무원보수규정」 [별표 5]를 준용한다. <개정 2005. 1. 7., 2013. 12. 11.>
⑦지도직공무원의 봉급월액은 「공무원보수규정」 [별표 6]을 준용한다. <개정 2005. 1. 7., 2013. 12. 11.>
⑧ 삭제 <2011. 8. 29.>
⑨ 삭제 <2020. 3. 10.>
⑩ 교육감 소속의 교육전문직원(「교육공무원법」 제2조제2항에 따른 교육전문직원을 말한다. 이하“교육전문직원”이라 한다)의 봉급월액은 「공무원보수규정」 별표 11을 준용한다. <신설 2013. 6. 11.>
⑪공립의 전문대학 및 대학 교원의 봉급월액은 「공무원보수규정」 별표 12를 준용한다. 다만, 총장의 봉급월액은 고정급으로 지급하되, 다음 각 호의 구분에 따른 봉급월액을 지급한다. <신설 1997. 1. 24., 2005. 1. 7., 2013. 6. 11.>
1. 서울시립대학교 총장: 「공무원보수규정」 별표 12의 비고 제1호다목에 해당하는 금액
2. 그 밖의 전문대학 및 대학의 총장: 「공무원보수규정」 별표 12의 비고 제1호가목에 해당하는 금액











'국가직 공무원 수당' 카테고리의 다른 글
| 대우공무원 수당 (0) | 2022.01.29 |
|---|---|
| 대우공무원수당조견표 (0) | 2022.01.26 |
| 2022년 공무원보수등의업무지침 (0) | 2022.01.26 |
| 2021년 공무원 봉급표(급여표) (0) | 2021.01.05 |
| 공무원 업무대행수당 (0) | 2020.06.27 |
댓글